Functions

动力学形核模型

结果示例

PFCSU Software Interface

凝固形核-gauss模型

  • 耦合热力学能量信息以及过冷度输出形核率

PFCSU Software InterfacePFCSU Software Interface

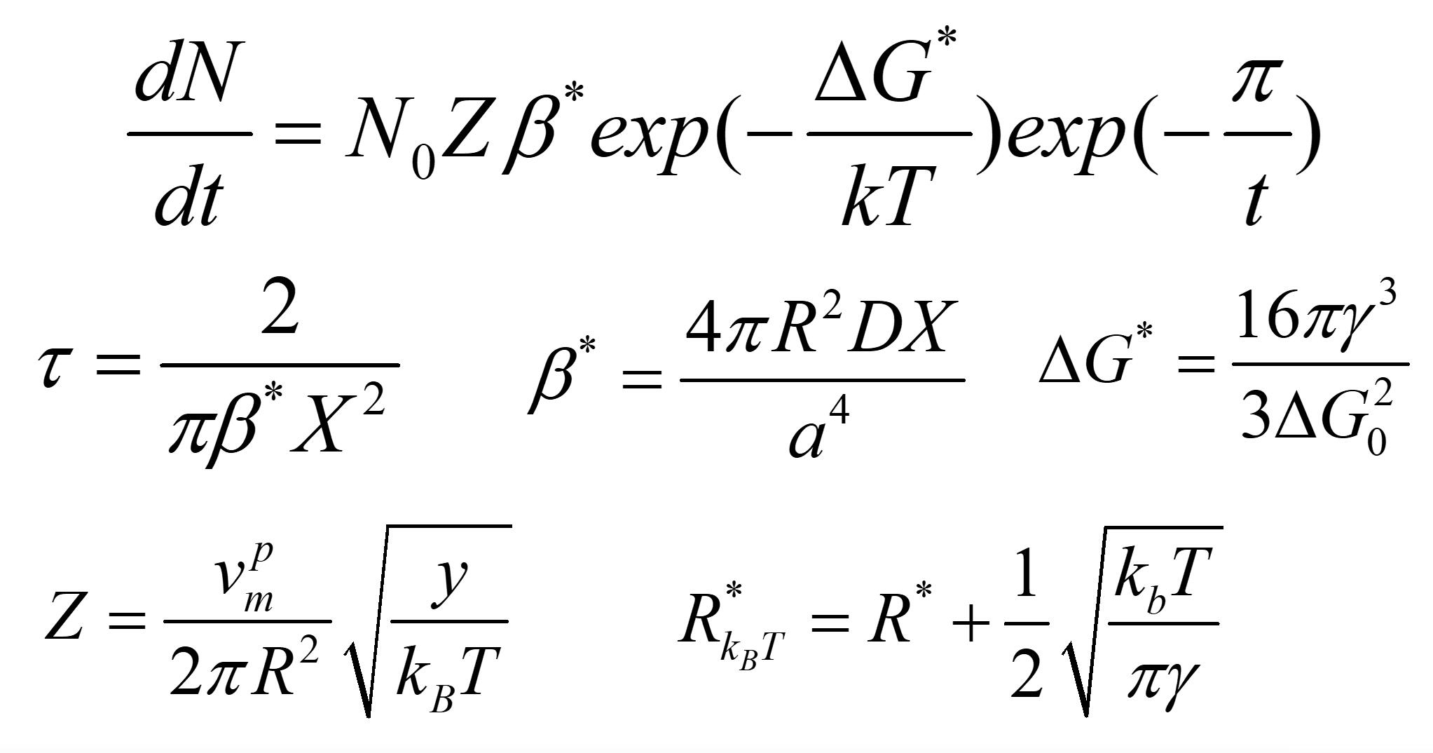
时效形核-KKS模型

  • 耦合热力学能量信息以及时效时间输出形核率 PFCSU Software Interface